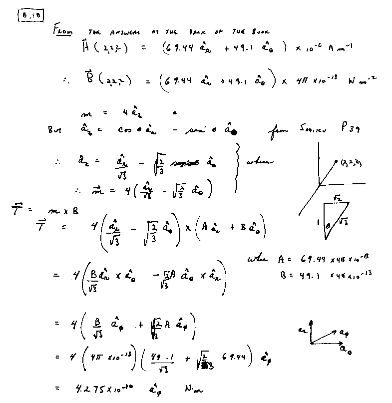
Page 2