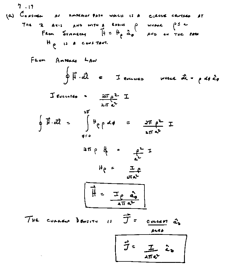
Page 8