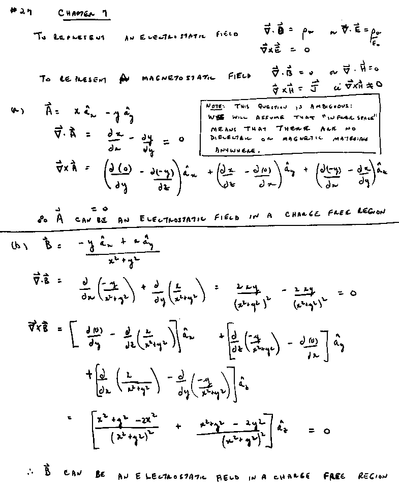
Page 9