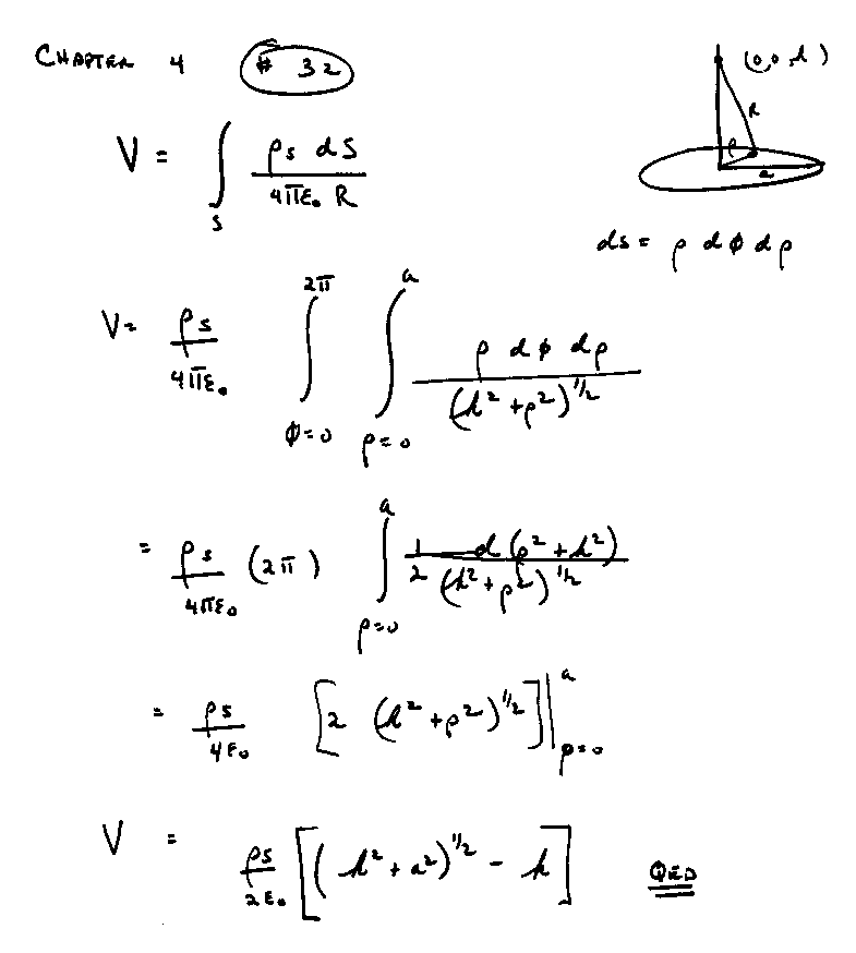
Page 12